
기존 배열
[0, 1, 2, 3, 4, 5, 6, 7, 8, 9]
해당 인덱스의 값이 부모이다.
첫번째 Union(1, 2)
fa = Find(1) = 1, fb = Find(2) = 2 -- 1 != 2 이므로 unf[1] = 2
[0, 2, 2, 3, 4, 5, 6, 7, 8, 9]
두번째 Union(2, 3)
fa = Find(2) = 2, fb = Find(3) = 3 -- 2 != 3 이므로 unf[2] = 3
[0, 2, 3, 3, 4, 5, 6, 7, 8, 9]
세번째 Union(3, 4)
fa = Find(3) = 3, fb = Find(4) = 4 -- 3 != 4 이므로 unf[3] = 4
[0, 2, 3, 4, 4, 5, 6, 7, 8, 9]
네번째 Union(1, 5)
return Find(unf[v]) 일 때
fa = Find(1) --> 1 != unf[1]
Find(unf[1]) = Find(2) -> Find(unf[2]) = Find(3) -> Find(unf[3]) = Find(4) -> return 4
fb = Find(5) = 5
4 != 5 이므로 unf[4] = 5
[0, 2, 3, 4, 5, 5, 6, 7, 8, 9]
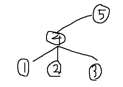
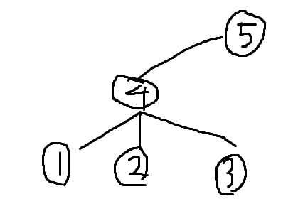
여기서는 1의 부모가 2, 2의 부모가 3, 3의 부모가 4, 4의 부모가 5
f(1)을 구하면 f(2)로 갔다가 f(3)으로 갔다가 f(4)로 갔다가 f(5)로 가서 5를 리턴받음
return unf[v]=Find(unf[v]) 일 때
fa = Find(1) --> 1 != unf[1]
unf[1] = Find(unf[1]) = Find(2)
unf[2] = Find(unf[2]) = Find(3)
unf[3] = Find(unf[3]) = Find(4)
unf[4] = Find(unf[4]) = return 4
unf[3], unf[2], unf[1] 도 차례대로 4가 대입
fb = Find(5) = 5
4 != 5 이므로 unf[4] = 5;
[0, 4, 4, 4, 5, 5, 6, 7, 8, 9]
여기서는 1,2,3의 부모가 4, 4의 부모가 5
f(1)을 구하면 f(4)로 바로 가고 f(5)로 가서 5를 리턴 받음
f(1)=f(2)=f(3)=f(4)=f(5) 임!
이코테
if(fa!=fb) unf[fa]=fb; 조건 대신
if(fa >= fb) unf[fa]=fb;else unf[fb] = fa; 가 들어가면
[0, 1, 1, 1, 1, 1, 6, 7, 8, 9] 로 바뀜
다섯번째 Union(6, 7)
여섯번째 Union(7, 8)
일곱번째 Union(3, 8)


import java.util.*;
class Main {
//집합을 표현하는 배열
static int[] unf;
//부모 찾기
public static int Find(int v){
if(v==unf[v]) return v;
//★★ufv[v]= 때문에 시간복잡도가 엄청나게 줄어들음
//일자 트리에서 부모자식트리로 변경됨
else return unf[v]=Find(unf[v]);
}
//합치기
public static void Union(int a, int b){
int fa=Find(a);
int fb=Find(b);
if(fa!=fb) unf[fa]=fb;
}
public static void main(String[] args){
Scanner kb = new Scanner(System.in);
int n=kb.nextInt();
int m=kb.nextInt();
unf=new int[n+1];
for(int i=1; i<=n; i++) unf[i]=i;
for(int i=1; i<=m; i++){
int a=kb.nextInt();
int b=kb.nextInt();
//a,b를 한 집합으로 만들기
Union(a, b);
System.out.println(Arrays.toString(unf));
}
//친구 관계인지 확인하는 입력
int a=kb.nextInt();
int b=kb.nextInt();
int fa=Find(a);
int fb=Find(b);
if(fa==fb) System.out.println("YES");
else System.out.println("NO");
}
}
'Algorithm > inflearn' 카테고리의 다른 글
| #계단오르기 (0) | 2021.10.09 |
|---|---|
| 원더랜드(크루스칼 : 최소 스패닝 트리) (0) | 2021.10.08 |
| 다익스트라 알고리즘 (0) | 2021.10.08 |
| ★최대수입스케쥴(PriorityQueue) (0) | 2021.10.08 |
| 결혼식 (0) | 2021.10.07 |