하다보면 늘겠지

  • 홈
  • 태그
  • 방명록

Database 1

데이터베이스의 인덱스란?

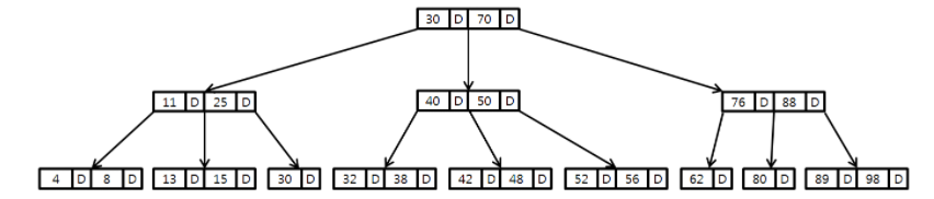
인덱스란? 인덱스는 데이터베이스 테이블에 대한 검색 성능의 속도를 높여주는 자료 구조입니다. 특정 컬럼에 인덱스를 생성하면 해당 컬럼의 데이터들을 정렬하여 별도의 메모리 공간에 데이터의 물리적 주소와 함께 메모리 저장소에 저장됩니다. 원본 테이블과의 비교를 위해 인덱싱되어 메모리 저장소에 저장된 데이터들을 인덱스 테이블이라고 하겠습니다. 인덱스 생성 컬럼을 Where 조건으로 조건을 거는 등의 작업을 하면 생성된 인덱스 테이블에 대해서 우선적으로 검색하게 됩니다. 해당하는 데이터를 찾았다면 데이터의 물리적 주소를 기반으로 원본 테이블에 접근하여 데이터를 가져오는 식으로 동작합니다. 인덱스는 보통 책에서의 목차라고 생각하면 됩니다. 우리가 책에서 정보를 빠르게 찾을 때도 원하는 카테고리를 목차에서 찾은 다..

Database 2022.03.22
이전
1
다음
더보기
프로필사진

하다보면 늘겠지

  • 분류 전체보기 (573)
    • TIL (182)
      • 2023 (0)
      • 2022 (80)
      • 2021 (102)
    • Java (6)
    • Spring (14)
    • JPA (0)
    • JavaScript (5)
    • Database (1)
    • Web (2)
    • Server (2)
    • Network (3)
    • Git (5)
    • Design Pattern (0)
    • OS (0)
    • Algorithm (306)
      • baekjoon (126)
      • programmers (39)
      • inflearn (90)
      • leetcode (2)
      • 이코테 (48)
    • Data Structure (0)
    • Book (30)
      • Effective Java (30)
    • Certificate (17)
      • 네트워크관리사 (4)
      • 정보처리기사 (13)
    • ETC (0)

Tag

테스트코드, 정처기 실기, Load Banance, testcode, 정처기 기출, Til, clustering,

최근글과 인기글

  • 최근글
  • 인기글

최근댓글

공지사항

페이스북 트위터 플러그인

  • Facebook
  • Twitter

Archives

Calendar

«   2025/12   »
일 월 화 수 목 금 토
1 2 3 4 5 6
7 8 9 10 11 12 13
14 15 16 17 18 19 20
21 22 23 24 25 26 27
28 29 30 31

방문자수Total

  • Today :
  • Yesterday :

Copyright © AXZ Corp. All rights reserved.

티스토리툴바